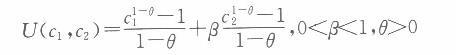
考虑一个单一产品经济,假定张三的寿命分两期:第一期参加工作,收入用于当期的消费和储蓄5第二期张三作为退休的老人,不参加工作,使用第一期的储蓄满是该期的消费。张三在第一期的消费为c.,储蓄为s,劳动收入为w;第二期的消费为C2,利率为r。张三的效用函数为:

假定训、r、p、θ为外生参数(数值已知)。 (1)写出张三的效用最大化问题。并给出张三在一、二期的消费函数。 (2)讨论利率r升高后,储蓄s如何变化?并给出经济解释。
正确答案及解析
正确答案
解析
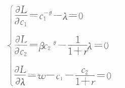
(1)张三的效用最大化问题可表述为:

一阶条件为:


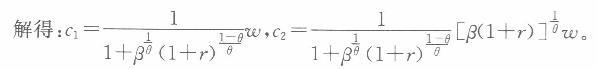
(2)由(1)可知储蓄函数为:

利率的变化对储蓄的影响分为替代效应和收入效应。如果

存款会随着利率的上升而增加。此时,利率提高对张三的收入效应小于替代效应;如果

存款会随着利率的上升而减少。此时,利率提高对张三的收入效应大于替代效应;如果

利率提高不影响储蓄水平。


