假设企业1和企业2生产相同的产品且成本函数一样,其边际成本恒定且没有固定成本,即AC=MC-10,整个市场的需求函数为Q=200-p。请分别计算古诺模型和斯塔克伯格模型下的社会福利,并比较哪个大。
正确答案及解析
正确答案
解析
由题意可得,企业的成本函数均为C=10q。(1)若两个企业之间进行古诺竞争,则两个企业的利润函数分别为:

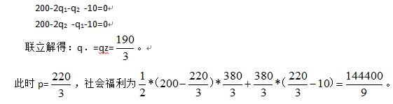
由利润最大化的一阶条件分别得:

(2)若两个企业之间进行斯塔克伯格模型竞争,一家厂商为主导者时,假设厂商1为主导者,由(1)得厂商2的反应函数为

专]&代入企业l的利润函数得:

利润最大化的一阶条件为:



