在一个经济体中,产品A与产品B必须联合生产。所有企业使用完全相同的生产技术,每个企业的总成本函数为: C(qA,qB)=1+qA2十qB2 其中,qA和qB分别代表两种产品的产出量。需求方面,消费者们对这两种产品的总需求函数分别为QA(pA)一30 - pA和QB(pB)=40-pB。 其中,pA和pB分别代表两种产品的市场价格。所有企业均为市场价格的“接受者”,且可以自由进出市场。请找出这两个产品的长期均衡价格。
正确答案及解析
正确答案
解析
假设市场有行个厂商。代表性厂商的利润函数为:

利润最大化的一阶条件为:

得:

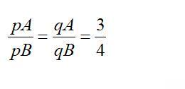
解得:

所以,利润函数还可以写成:

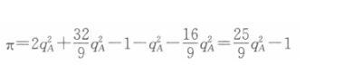
由于厂商可以自由地进出市场,所以长期均衡时,厂商的经济利润为零,即:

解得:

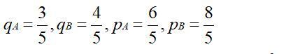
所以,两种产品的长期均衡价格分别为{图7}


