在一个人(既是消费者又是生产者)的经济e={X,y,ω}中,商品1和商品2在消费和生产中分别满足下面的条件:X一{z∈R2 ▏x1≥2,x2≥0}Y={y∈R2▏y2≤2(-y1)2,y1≤0)。效用函数为U(x1,x2)-(x1-2)x2,初始资源禀赋为ω=(4,0)。现在假设财富取决于初始禀赋和利润,请推导出商品1的市场均衡条件。假如此时p1=1,p2为多少?
正确答案及解析
正确答案
解析
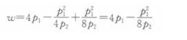
若财富取决于初始禀赋和利润,则此时w=4p1+P1 y1 +p2y2,将(1)中结果代入,得:

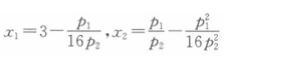
将上式代入(2)中结果,得

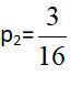
商品1的市场均衡时,商品需求等于初始禀赋加上商品供给,即均衡条件为x1=ωx+y1,即: 当P1=1时,解得

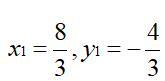
综上,商品1达到市场均衡时,

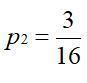
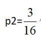
假如此时p1=1,

那么

包含此试题的试卷
你可能感兴趣的试题
解决人生目的和奋斗目标的问题,最根本的是要靠
-
- A.法制教育
- B.理想信念
- C.社会舆论
- D.文化素质
- 查看答案
理想作为对未来的向往和追求,是
-
- A.对现实生活的超越
- B.在现实生活中尚未实现的东西
- C.人们的要求和期望最集中、最直观的表达
- D.违背客观规律从而根本不可能实现的现象
- 查看答案
理想的追求和实现是一个
-
- A.坐享其成的过程
- B.信手拈来的过程
- C.纵情享乐的过程
- D.艰苦奋斗的过程
- 查看答案
爱国主义的基本要求是
-
- A.爱祖国的大好河山
- B.爱自己的骨肉同胞
- C.爱祖国的灿烂文化
- D.爱自己的国家
- 查看答案
强国必须强军。历史有力证明,落后就要挨打。没有国防和军队的现代化,就不会有国家的现代化,就不会有中华民族的伟大复兴。中共十九大对全面推进国防和军队现代化作出新的战略安排,包括
-
- A.到2020年,国防和军队建设要基本实现机械化,信息化建设取得重大进展,战略能力有大的提升
- B.到2030年,构建中国特色现代军事力量体系
- C.到21世纪中叶,把人民军队全面建成世界一流军队
- D.到2035年,基本实现国防和军队现代化
- 查看答案