美国的波音公司与法国的空客公司都向世界出售民用客机。假设世界对飞机的需求函数为p=20-q,两个公司的成本函数均为c(q)=8q。 假定两公司都生产,找出古诺/纳什均衡并求出均衡时的产量、价格与利润。
正确答案及解析
正确答案
解析
在寡头市场上,生产的古诺均衡解是假定一方产量不变,另一方实现自身利润最大化的解,因此也是纳什均衡解。 波音公司的利润函数为:

利润最大化的一阶条件为:

由此得波音公司的反应函数为

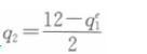
同理可得,空客公司的反应函数为

令q1 =qe1,q2=qe2,联立两个反应函数,得到古诺均衡解为



