一个城市的人口数量为N,其中60%的人口具有购房能力,且这部分人口的收入与偏好都一样。考虑两种产品模型:房子和其他商品。设y为消费者购买的房屋面积(平方米),p为房屋每平方米价格,z为其他消费。有能力购买者收人为m,效用函数为U(z,y)=X1-α。yα。由于房价过高,政府对房地产进行调控,政府对房屋交易征收t元的税(每平方米)。市场新的均衡价格及产量又是多少?如果政府把用地指标的10%用于建设保障房,通过摇号的方式,将保障房免费分给无购房能力者,此时房子的均衡价格和产量为多少?这两个政策能有效降低房价吗?
正确答案及解析
正确答案
解析
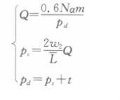
在征税的情况下,联立下列式子:

解得均衡价格和产量分别为

如果减少10%的用地指标,那么可投入生产并用于交易的L变为原来的90%,此时均衡价格和均衡产量分别为:

因为所以这两种方法都会使房价升高,不能降低房价。

