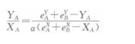
纯交换的完全竞争市场上两个消费者A和B,两种商品X,Y,消费者A和B的效用函数分别为U(XA,YA)一XAYA和U(XB,YB)一In XB +αln YB。其中,(XA,YA)分别为消费者A在X,Y上的消费,(XB,YB)同理。A和B的初始禀赋分别为(eAX,eAY),(eBx,eBY)。经济体的初始总禀赋为(EX,EY)一{(eAX+eBx),(eAY+eBY)}。帕累托最优的资源分配方案,即契约曲线表达式
正确答案及解析
正确答案
解析
消费者A对商品X和Y的边际替代率为

消费者B对商品X和Y的边际替代率为

达到帕累托最优分配时,有

由此得到交换的契约曲线为:



