纯交换的完全竞争市场上两个消费者A和B,两种商品X,Y,消费者A和B的效用函数分别为U(XA,YA)一XAYA和U(XB,YB)一In XB +αln YB。其中,(XA,YA)分别为消费者A在X,Y上的消费,(XB,YB)同理。A和B的初始禀赋分别为(eAX,eAY),(eBx,eBY)。经济体的初始总禀赋为(EX,EY)一{(eAX+eBx),(eAY+eBY)},(eBx,eBY)。经济体的初始总禀赋为(EX,EY)一{(eAX+eBx),(eAY+eBY)}。求竞争性市场均衡条件下的产品价格以及每个消费者的情况。求竞争性市场均衡条件下的产品价格以及每个消费者的情况。
正确答案及解析
正确答案
解析
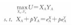
不妨设商品X的价格为1,商品Y的相对价格为p。 消费者A的问题为:

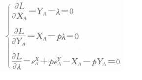
构造拉格朗日辅助函数L(XA,YA,λ)=XAYA +λ(eXA十peYA-XA -pYA),一阶条件为:

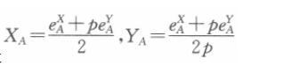
解得消费者A对X和Y的需求函数分别是 同理可以解得消费者B对X和Y的需求函数分别是

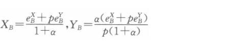
同理可以解得消费者B对X和Y的需求函数分别是

市场均衡条件下,有

解得:



