纯交换的完全竞争市场上两个消费者A和B,两种商品X,Y,消费者A和B的效用函数分别为U(XA,YA)一XAYA和U(XB,YB)一In XB +αln YB。其中,(XA,YA)分别为消费者A在X,Y上的消费,(XB,YB)同理。A和B的初始禀赋分别为(eAX,eAY),(eBx,eBY)。经济体的初始总禀赋为(EX,EY)一{(eAX+eBx),(eAY+eBY)}。交易后,人们的效用水平上升了还是下降了?为什么?
正确答案及解析
正确答案
解析
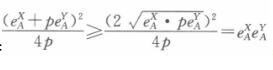
(3)交易后,人们的效用水平至少和原来一样好。消费者A的效用u(XA,yA)=XAYA=

所以交易后消费者A的效用水平至少和不交易时一样好。 消费者B的效用水平为:

所以,交易后消费者B的效用水平至少和不交易时一样好。 所以,交换可以使初始禀赋实现帕累托改进,在交换的契约曲线上达到了帕累托最优配置,人们的效用水平至少和原来一样好。


