竞争性市场下有3个完全相同的企业,生产相同产品。市场的反需求曲线为p(Q)-l-Q,Q=q1+q2+q3,每个企业成本为零。古诺模型下各企业的利润?
正确答案及解析
正确答案
解析
厂商i的利润函数为

利润最大化的一阶条件为:

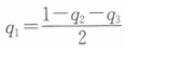
由此可得厂商1的反应函数为

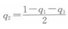
同理可得厂商2的反应函数为

厂商3的反应函数为

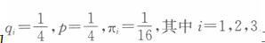
联立三个企业的反应函数,得古诺均衡解为

其中i=1,2,3。
竞争性市场下有3个完全相同的企业,生产相同产品。市场的反需求曲线为p(Q)-l-Q,Q=q1+q2+q3,每个企业成本为零。古诺模型下各企业的利润?
厂商i的利润函数为

利润最大化的一阶条件为:

由此可得厂商1的反应函数为

同理可得厂商2的反应函数为

厂商3的反应函数为

联立三个企业的反应函数,得古诺均衡解为

其中i=1,2,3。