竞争性市场下有3个完全相同的企业,生产相同产品。市场的反需求曲线为p(Q)-l-Q,Q=q1+q2+q3,每个企业成本为零。若其中两个公司合并,企业各自的利润分别是多少?
正确答案及解析
正确答案
解析
不妨设企业1和2合并为企业4,那么企业4的利润函数为π4=p4q4=(1- q3 - q4)q4,利润最大化的一阶条件为:

得厂商4的反应函数为

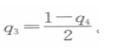
同理可得厂商3的反应函数为

联立两个反应函数,得到古诺均衡解为

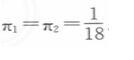
若企业1和2平分利润,则

竞争性市场下有3个完全相同的企业,生产相同产品。市场的反需求曲线为p(Q)-l-Q,Q=q1+q2+q3,每个企业成本为零。若其中两个公司合并,企业各自的利润分别是多少?
不妨设企业1和2合并为企业4,那么企业4的利润函数为π4=p4q4=(1- q3 - q4)q4,利润最大化的一阶条件为:

得厂商4的反应函数为

同理可得厂商3的反应函数为

联立两个反应函数,得到古诺均衡解为

若企业1和2平分利润,则
