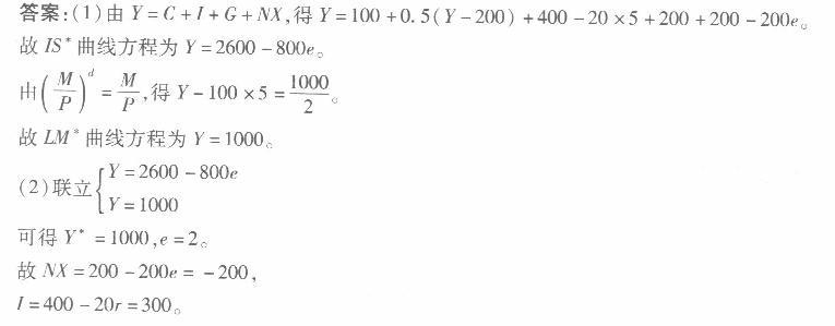
考虑一个由以下方程式所描述的经济:Y=C +I+G +NY,政府采购G=200,税收T=200.消费C =100 +0. 75(Y-T),投资I= 400 - 20,,净出口NX= 200 - 200e,利率r=r*=5。其中,y表示总收入,e表示汇率,r*表示世界利率。又假设货币需求函数为(M/P)d =Y-lOOr,货币供给M=1000,物价水平P=2,该经济实行的是浮动汇率制。请问: (l)该经济IS*曲线和LM*曲线的方程分别是多少? (2)市场实现均衡时,该经济的国民收入、均衡汇率、贸易余额、投资又为多少?
正确答案及解析
正确答案
解析



