分析税收和政府支出对IS曲线的影响,并分析其中隐含的政策意义
正确答案及解析
正确答案
解析
(1)IS曲线表达式为:

(2)税收和政府支出对腰曲线的影响如图14-2所示。

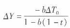
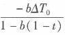
1)税收变动:当税收(T)增加或减少△T时,国民收入减少或增加量

即IS曲线左移或右移

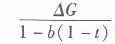
这是因为一笔税收增加(或减少),如果是增加(或减少)了企业的负担,则会使投资相应减少(或增加),从而使IS曲线向左(或向右)移动;同样,一笔税收的增加(或减少),如果是增加(或减少)了居民个人的负担,则会使他们的可支配收入减少(或增加),从而使他们的消费支出相应地减少(或增加),从而也会使IS曲线向左(或向右)移动。 2)政府支出变动:当政府支出G增加或减少△G时,国民收入增加或减少量为△Y=

即IS曲线右移或左移

(3)政策意义。政府支出与税收的变动可以引起需求变动,其隐含的政策含义为:政府可以通过变动税收和政府支出人为地调整总需求,从而影响干预经济的运转,而这也成为政府宏观调控的理论基础。事实上,增加政府支出和减税,都属于增加总需求的膨胀性财政政策;减少政府支出和增税,都属于降低总需求的紧缩性财政政策。


