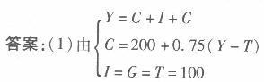
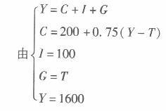
假设在一个生产能力过剩的经济体中,消费函数为C= 200 +0. 75(Y-T),计划投资、政府购买和税收都是100。请回答如下9个问题中的任意6个问题,但(3)和(7)必做。 (1)均衡的收入水平是多少?均衡的储蓄水平是多少? (2)如果政府购买增加到125,新的均衡收入是多少? (3)(此问必做)假设充分就业的收入为1600,政府要实现充分就业,如果采取调整政府购买支出政策,政府购买支出应该是多少?如果采取税收政策,税收应该是多少?平衡预算政策能否实现同样的目标,为什么? (4)当一个社会变得更加节约时,比方说,边际消费倾向从0.75降低为0.70时,均衡的储蓄是增加了还是减少了?(通过计算说明) (5)你对(4)的回答被称为“节俭悖论”,请用所学原理解释为什么会存在“节俭悖论”? (6)你怎样理解消费和储蓄的关系?储蓄是不是越少越好?为什么? (7)(此问必做)假设这个经济体受到货币市场的影响,货币需求函数为M/P=Y- lOOr,同时投资不再是100,而是随着利率的变化而变化的,即1= 200 - 25r。如果货币量为1000,物价水平为2。请问均衡的收入水平是多少? (8)延续(7)的环境,如果中央银行将货币供给从原来的1000增加到1200。新的均衡收入是多少?请用经济学原理解释为什么收入会有这样的变化? (9)你能否推导出总需求方程来?
正确答案及解析
正确答案
解析

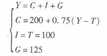
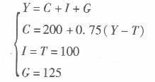
可得均衡收入水平为Y= 1300,均衡储蓄水平为S=Yd-C=- 200 +0. 25(y -T)=100。 (2)如果政府购买增加到125,则由:

解得新的均衡收入为y =1400。 (3)①政府要实现充分就业,如果采取调整政府购买支出政策时:

可得政府购买支出为G =175。 ②政府要实现充分就业,如果采取税收政策时:

可得政府征税额为T=O。 ③政府要实现充分就业,如果采取平衡预算政策时:

可得G= T= 400,因此平衡预算政策也能实现目标,此时政府购买支出等于税收收入,G=T=400。

可得均衡收入为Y= 1100,因此,均衡储蓄为S=Yd-C= -200+0.3(Y-T) =100。 与(1)相比,当边际消费倾向从0.75降低为o.70时,均衡的储蓄没有变化,但是均衡的收入却减少了,这就是“节俭悖论”。 (5)节俭悖论指节制消费增加储蓄会增加个人财富,对个人是件好事,但由于会减少国民收入引起萧条,对国民经济是件坏事。根据凯恩斯的总需求决定国民收入的理论,节俭对于经济增长并没有什么好处。实际上,这里蕴含着一个矛盾:公众越节俭,降低消费,增加储蓄,往往会导致社会收入的减少。因为在既定的收入中,消费与储蓄成反方向变动,即消费增加、储蓄就会减少,消费减少、储蓄就会增加。所以,储蓄与国民收入呈现反方向变动,储蓄增加,国民收入就减少;储蓄减少,国民收入就增加。根据这种看法,增加消费、减少储蓄会通过增加总需求而引起国民收入增加,就会促进经济繁荣;反之,就会导致经济萧条。由此可以得出一个蕴含逻辑矛盾的推论:节制消费、增加储蓄会增加个人财富,对个人是件好事,但由于会减少国民收入引起萧条,对国民经济却是件坏事。节俭悖论说明:节俭减少了支出,迫使厂家削减产量,解雇工人,从而减少了收入,最终减少了储蓄。储蓄为个人致富铺平了道路,然而如果整个国家加大储蓄,将使整个社会陷入萧条和贫困。 (6)①对于个人而言,在一定时期内和既定的收入下,消费和储蓄存在着此消彼长的关系:消费越多,储蓄就越少;储蓄越多,消费就越少。但是在适当的条件下,如果将储蓄视为是一种投资行为,则适当减少消费,增加储蓄,有可能提高未来的消费水平,从而使消费者的福利水平获得提高。 ②储蓄不是越少越好。根据资本存量的黄金律,适当的储蓄使得人均资本存量在长期中能够达到黄金律水平,则将在长期中使人们的消费水平达到最优,经济福利实现最优化。

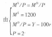
可得IS曲线方程为Y= 1700 - 1OOr。 ①

可得LM曲线方程为y=500 +100r。 ② 由方程①和②联立可得,均衡的收入水平为Y=1100。 (8)如果中央银行将货币供给从原来的1000增加到1200,

可得新的LM曲线方程为Y=600 +1OOr。 ③ 由方程①和③联立可得,均衡的收入水平为Y=1150。 导致均衡收入增加的原因是货币供给的增加,降低了利率,增加了投资需求,从而使经济中的总需求增加了,产出水平也增加了。 (9)总需求曲线揭示了产品和货币市场均衡时,价格和产出之间的关系。

可得新的IS曲线方程为Y=1000/p+1OOr。 ④ 由方程①和④联立可得Y=850+500/P,即为总需求方程。


