下列等式描绘了一个经济体:

这里,C为消费支出,y为国民收入,t为税率,l为投资支出,G为政府购买支出,i为利率,L为真实货币需求,CU为通货,RE为准备金,cu为通货存款比率,re为准备率,P为价格水平。 (1)求IS曲线和LM曲线方程,并计算均衡收入和均衡利率。 (2)计算财政政策乘数和货币政策乘数。 (3)现在政府要改变需求的构成,减少消费100、增加投资100,从而保持当前的收入水平不变。请问:需要什么样的政策组合?用IS- LM曲线模型表示你的建议,并计算出需要调整的政策变量的变化量是多少? (4)假设充分就业的收入水平为4000,政府准备采用扩张性政策以实现充分就业,请问:如果单独采用扩张性财政政策,需要增加多少政府购买支出?如果采用扩张性财政政策的同时,采用适应性货币政策,政府购买支出和名义货币供给的变化量分别是多少?
正确答案及解析
正确答案
解析

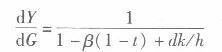
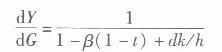
其中,β为可支配收入的边际消费倾向,在本题中为0.8;t为税率,在本题中为0. 25;d为投资的利率弹性,在本题中为50;k为货币需求的收入弹性,在本题中为0.25;h为货币需求的利率弹性,在本题中为62.5。

(3)政府可以采用紧缩性的财政政策(增加税收)来减少居民的消费,采用扩张性的货币政策来降低利率水平,从而使投资增加,最终总收入保持不变。如图17_4所示,紧缩性的财政政策将使IS曲线从ISO左移到IS1,扩张性的货币政策将使LM曲线从LM0右移到LM1,从而使利率从i0下降到i1,收入水平保持在YO不变。 假设政府的税收政策为增加一次总量税,而不是改变边际税率,征税总额为AT,政府增加货币的实际供给量为△m。 由(1)可得原来的消费水平为C=0.8(1-t)y=1800,原来的投资水平为,= 9000 - 50/ 700。要使投资水平增加100,则利率水平必须下降为i’=2;要使消费减少100而总收入保持不变,则C=0.8[(1-t)Y -△T]= 1700,解得△T= 125。

可得新的LM曲线方程为y=2000 +250i+4(△m), ③此时在原收入y =3000和新的利率水平i=2下,可得△m= 125. 综上所述,为了使消费减少100,投资增加100,而收入水平保持不变,政府税收应增加125,实际货币供给应增加125(即名义货币供给增加250)。

(4)如果政府单独采用扩张性财政政策,假设政府支出增加AG,则由

可得新的IS曲线方程为y =3500 -125i+2.5(AC)。 ④ 而此时LM曲线保持不变,因此由

可得政府支出增加额为△G= 600。 如果采用扩张性财政政策的同时,采用适应性货币政策使利率保持不变,即收入增加为y= 4000,而利率水平仍然为i=4。由式④可得政府购买支出增加额为△C =400,由式③可得实际货币供给增加为△m= 250,即名义货币供给增加△M= P△m= 500。

