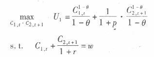
在一个多期经济模型中,假设每一期经济中同时存在年轻人和老年人,并且每个人生存两期。在第t期,每个年轻人拥有一单位劳动,通过提供劳动获得收入,并将劳动收入中的一部分用于第t期的消费c.,(其中下标1表示年轻人,f表示第f期),一部分用于储蓄st;到了第t+l期,f期时的年轻人变成老年人,而且也不再有劳动收入,而是依靠年轻时存下的储蓄生活,消费为c2,t+1(其中下标2表示老年人,t+l表示第t+l期)并用完所有储蓄。假设所有人的效用函数形式为U(c)=

市场利率为r1,主观贴现率为p,工资率为w。 (1)求年轻人的储蓄。 (2)提高工资率对年轻人的储蓄有什么影响?请解释。 (3)降低利率对年轻人的储蓄有什么影响?请解释。
正确答案及解析
正确答案
解析
(1)该题所考查的是戴蒙德的OLG模型,代表性家庭的最优化问题为:

利用拉格朗日方法求解此问题,设拉格朗日函数为:


