为什么货币乘数会随市场利率水平上升而提高(变大),随贴现率提高而下降(变小)?
正确答案及解析
正确答案
解析
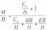
一单位高能货币能带来若干倍货币供给,这若干倍即货币创造乘数。如果用H、Cu .RR、ER、M、D分别表示高能货币、非银行部门持有的通货、法定准备金、超额储备金、货币供给量和活期存款,那么货币乘数的表达式为

可以看出市场利率上升时银行持有准备金的机会成本上升,因而降低准备率从而提高货币乘数。贴现率提高,银行会增加超额准备金,从而使准备金率提高并使货币乘数变小。
你可能感兴趣的试题
在社会规范学习与道德品质发展的研究中,班都拉(ABandura)等心理学家的研究重点是
-
- A.道德认识
- B.道德情感
- C.道德意志
- D.道德行为
- 查看答案
与悬浮-密实结构的沥青混合料相比,关于骨架-空隙结构的黏聚力和内摩擦角的说法,正确的是( )。
-
- A.黏聚力大,内摩擦角大
- B.黏聚力大,内摩擦角小
- C.黏聚力小,内摩擦角大
- D.黏聚力小,内摩擦角小
- 查看答案
沥青混合料结构组成中,骨架-空隙结构的特点是( )。
-
- A.黏聚力较高,内摩擦角较小
- B.黏聚力较高,内摩擦角较大
- C.黏聚力较低,内摩擦角较大
- D.黏聚力较低,内摩擦角较小
- 查看答案
柔性路面主要代表是沥青类路面,其破坏主要取决于( )和极限垂直变形。
-
- A.剪切变形
- B.抗剪强度
- C.弯拉强度
- D.弯拉应变
- 查看答案
雅各宾派也被称为()
-
- A.沼泽派
- B.平等派
- C.忿激派
- D.山岳派
- 查看答案