均衡经济增长盎
正确答案及解析
正确答案
解析
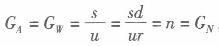
均衡经济增长率是指实际增长率、有保证的增长率和自然增长率相等时的经济增长率。在哈罗德一多马模型中,要实现充分就业的均衡增长,就必须满足

其中,G为实际增长率,Gw为有保证的增长率,n为一国的人口增长率。这一等式表明了实现充分就业均衡增长的必要条件。哈罗德把符合上述条件的增长率称为“自然增长率”,认为是社会所能达到的最大的、“最适宜的”增长率,用GN来表示,显然,GN:n。在现实经济活动中,

这种情况有可能出现的,因此哈罗德认为,在资本主义条件下,实现充分就业均衡增长的可能性是存在的。但另一方面,由于储蓄比例,实际资本一产量比和劳动力增长率分别是由各不相同的若干因素独立地决定的。因此,除非偶然的巧合,充分就业的均衡增长是不会出现的。于是,哈罗德认为,虽然GA= Gw= CN这种理想的充分就业均衡经济增长率是存在的,但是一般来说,实现充分就业均衡增长的可能性是极小的,也就是说,在一般情况下,经济很难按照均衡增长的途径增长。

