根据表10 -11的二人同时博弈模型,求: (1)参与人A与B的期望支付。 (2)参与人A与B的条件混合策略。 (3)纳什均衡。

正确答案及解析
正确答案
解析
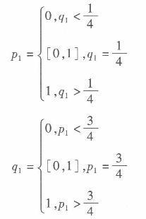
(1)由划线法可知参与人A与B的期望支付为: EA =3P1q1 +P1(1- q1)+2(1-P1)(1- q1) =4P1q1 -2q1 -P1 +2 =Pl (4q1 -1)- 2q1+2 EB =2P1q1 +P1(1- q1)+3(1-P1)(1- q1) =4P1q1 -2p1 -3q1 +3 =q1(4p1 -3)- 2p1+3 (2)参与人A与B的条件混合策略为:

(3)纯策略纳什均衡为(3,2)(2,3),即(上,左)(下,右),混合策略纳什均衡为(3/4上,1/4左)如图10-5所示。



