设某个纯策略博弈的纳什均衡不存在试问:相应的混合策略博弈的纳什均衡会存在吗?试举一例说明.
正确答案及解析
正确答案
解析
在同时博弈中,纯策略的纳什均衡可能存在,也可能不存在,但相应的}昆合策略纳什均衡总是存在的。例如表10-9所示,在下面的二人同时博弈中,根据条件策略下划线法可知由于没有一个单元格中两个数字之下均有下划线,故纯策略的纳什均衡不存在,但是相应的混合策略纳什均衡却是存在的。

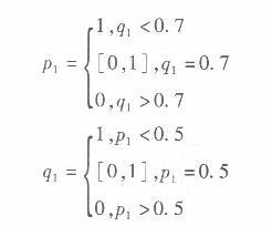
首先分别计算甲厂商和乙厂商的混合策略: E甲=4P1ql+9P1(1-ql)+7(1-P1)ql+2(1-P1)(1-q1) =p1(7 -1Oql) +5q1 +2 E乙= 6P1ql+P1(1- q1)+3(1-p1)ql+8(1- P1)(1- q1) =5q1(2p1 -1) -7P1+8 其次分别计算甲厂商和乙厂商的条件混合策略:

最后,混合策略纳什均衡参见图10-1中点e,此时混合策略纳什均衡可以表示为: ((P1,p2)(q1,q2))=((0.5,0.5)(0.7,0.3)) 但不存在纯策略博弈的纳什均衡。



