考虑一般性的柯布-道格拉斯生产函数:q=Ax1^α×x2^β(A>0,α>0,β>0),其中q为产量;x1、x2分别为两种要素投入。考虑比较静态的情形,当要素投入对价格ω1,ω2变化而产量保持不变时,生产者会使用相对便宜的要素替代相对贵的要素,试解出该生产函数的要素替代弹性。
正确答案及解析
正确答案
解析
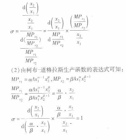
(1)替代弹性用来衡量生产要素投入比例变动对于生产要素边际技术替代率变动的敏感性程度。替代弹性(σ)表示如下:

因此,柯布—道格拉斯生产函数的替代弹性恒为】。
考虑一般性的柯布-道格拉斯生产函数:q=Ax1^α×x2^β(A>0,α>0,β>0),其中q为产量;x1、x2分别为两种要素投入。考虑比较静态的情形,当要素投入对价格ω1,ω2变化而产量保持不变时,生产者会使用相对便宜的要素替代相对贵的要素,试解出该生产函数的要素替代弹性。
(1)替代弹性用来衡量生产要素投入比例变动对于生产要素边际技术替代率变动的敏感性程度。替代弹性(σ)表示如下:

因此,柯布—道格拉斯生产函数的替代弹性恒为】。