已知某垄断厂商利用一个工厂生产一种产品,其产品在两个分割的市场出售,它的成本函数为TC =O. 5Q2 +7Q,两个市场的需求函数分别为Q1=30 -0. 5P1、Q2=100 - 2P2. (1)求当该厂商实行三级价格歧视时,它追求利润最大化前提下的两个市场各自的销售量、价格,以及厂商的总利润(保留整数部分)。 (2)求当该厂商在两个市场上实行统一的价格时,它追求利润最大化前提下的销售量、价格,以及厂商的总利润(保留整数部分)。 (3)比较(1)和(2)的结果。
正确答案及解析
正确答案
解析
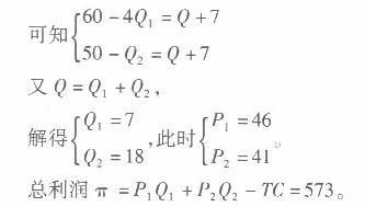
(1)第一个市场的反需求函数为P1=60 -2Q., 边际收益函数为MR1= 60 -4Q,。 第二个市场的反需求函数为P2= 50 -0.5Q2, 边际收益函数为MR2= 50 - Q2。 边际成本函数为MC=Q+7, 根据三级价格歧视利润最大化的原则,有: MR1= MR2= MC

(2)市场需求函数为: Q=Q1+ Q2=(30 -0. 5P)+ (100 - 2P)= 130 -2. 5P 市场反需求函数为P= 52 -0. 4Q, 边际收益函数为MR =52 -0. 8Q。 根据最大化原则MR =MC, 可得Q +7= 52 -0. 8Q,Q=25。 价格P=42,总利润为π=PQ - TC =563。 (3)比较(1)和(2)的结果可以看到,三级价格歧视下利润大于统一定价下的利润,这表明实行三级价格歧视要比不这样做更为有利可图。

