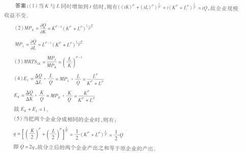
给定CES生产函数Q=(KP+LP)^(1/p),Q为产出,K、L分别为资本和劳动的投入量。 (1)证明该企业规模收益不变。 (2)资本和劳动的边际产量为多少? (3)劳动对资本的边际技术替代率是多少? (4)证明资本和劳动的产出弹性之和等于1。 (5)把这个企业分为两个相同的企业,分立之后的产出之和与原企业的产出有什么变化?详细写出演算过程。
正确答案及解析
正确答案
解析

给定CES生产函数Q=(KP+LP)^(1/p),Q为产出,K、L分别为资本和劳动的投入量。 (1)证明该企业规模收益不变。 (2)资本和劳动的边际产量为多少? (3)劳动对资本的边际技术替代率是多少? (4)证明资本和劳动的产出弹性之和等于1。 (5)把这个企业分为两个相同的企业,分立之后的产出之和与原企业的产出有什么变化?详细写出演算过程。
