题目详情

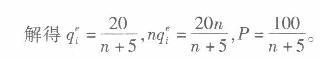
某产品的市场需求曲线为Q=2O -P,市场中有n个生产成本相同的厂商,单个厂商的成本函数为c=2q2+2,问: (1)若该市场为竞争性市场,市场均衡时的市场价格和单个企业的产量是多少? (2)长期均衡时该市场中最多有多少个厂商? (3)若该市场为寡头垄断市场,古诺均衡时的市场价格和单个企业的产量是多少?

正确答案及解析

正确答案
解析

经济学,章节练习,西方微观经济学

经济学,章节练习,西方微观经济学

你可能感兴趣的试题

单选题

在社会规范学习与道德品质发展的研究中,班都拉(ABandura)等心理学家的研究重点是

  • A.道德认识
  • B.道德情感
  • C.道德意志
  • D.道德行为
查看答案
单选题

雅各宾派也被称为()

  • A.沼泽派
  • B.平等派
  • C.忿激派
  • D.山岳派
查看答案
问答题

数学一,章节练习,考研数学高等数学部分

查看答案
问答题

数学一,章节练习,考研数学高等数学部分

查看答案
问答题

数学一,章节练习,考研数学高等数学部分

查看答案

相关题库更多 +