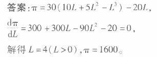
设某企业只有一种可变投入要素(劳力)的生产函数为:Q(L) =10L+5L2-L3 每增加一个单位投入时,需增加成本20元,若产品售价为30元(相对稳定):如果你是企业决策者,怎样才能求出你认为是最优的投入量L'(列出求解的式子)?
正确答案及解析
正确答案
解析

你可能感兴趣的试题
在社会规范学习与道德品质发展的研究中,班都拉(ABandura)等心理学家的研究重点是
-
- A.道德认识
- B.道德情感
- C.道德意志
- D.道德行为
- 查看答案
与悬浮-密实结构的沥青混合料相比,关于骨架-空隙结构的黏聚力和内摩擦角的说法,正确的是( )。
-
- A.黏聚力大,内摩擦角大
- B.黏聚力大,内摩擦角小
- C.黏聚力小,内摩擦角大
- D.黏聚力小,内摩擦角小
- 查看答案
关于企业法人对其法定代表人行为承担民事责任的下列哪一表述是正确的
-
- A.仅对其合法的经营行为承担民事责任
- B.仅对其符合法人章程的经营行为承担民事责任
- C.仅对其以法人名义从事的经营行为承担民事责任
- D.仅对其符合法人登记经营范围的经营行为承担民事责任
- 查看答案
沥青混合料结构组成中,骨架-空隙结构的特点是( )。
-
- A.黏聚力较高,内摩擦角较小
- B.黏聚力较高,内摩擦角较大
- C.黏聚力较低,内摩擦角较大
- D.黏聚力较低,内摩擦角较小
- 查看答案
柔性路面主要代表是沥青类路面,其破坏主要取决于( )和极限垂直变形。
-
- A.剪切变形
- B.抗剪强度
- C.弯拉强度
- D.弯拉应变
- 查看答案