假定某完全竞争市场的需求函数为Qd= 68 -4P,行业的短期供给函数为Qs= -12 +4P: (1)求该市场的短期均衡价格和均衡产量。 (2)在(1)的条件下,该市场的消费者剩余、生产者剩余和社会总福利分别是多少? (3)假定政府对每一单位商品征收2元的销售税,那么,该市场的短期均衡价格和均衡产量是多少?此外,消费者剩余、生产者剩余和社会总福利的变化又分别是多少?
正确答案及解析
正确答案
解析
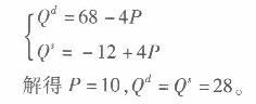
(1)联立方程:

(2)如图6-7所示。

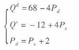
由图6-7可以得知消费者剩余为(1/2)×28×(17 -10)= 98, 生产者剩余为(1/2)×28×(10 -3) =98, 社会总福利为消费者剩余加上生产者剩余为196。 (3)联立方程:

解得Pd =11,Qd=Qs =24。 即均衡价格为11,均衡数量为24,如图6-8所示。 此时消费者剩余为(1/2)×24×(17 -11) =72, 生产者剩余为(1/2)×24×(11-5) =72, 社会总福利为72 +72= 144。 故消费者剩余和生产者剩余均减少26,社会总福利减少52。

你可能感兴趣的试题
在社会规范学习与道德品质发展的研究中,班都拉(ABandura)等心理学家的研究重点是
-
- A.道德认识
- B.道德情感
- C.道德意志
- D.道德行为
- 查看答案
与悬浮-密实结构的沥青混合料相比,关于骨架-空隙结构的黏聚力和内摩擦角的说法,正确的是( )。
-
- A.黏聚力大,内摩擦角大
- B.黏聚力大,内摩擦角小
- C.黏聚力小,内摩擦角大
- D.黏聚力小,内摩擦角小
- 查看答案
关于企业法人对其法定代表人行为承担民事责任的下列哪一表述是正确的
-
- A.仅对其合法的经营行为承担民事责任
- B.仅对其符合法人章程的经营行为承担民事责任
- C.仅对其以法人名义从事的经营行为承担民事责任
- D.仅对其符合法人登记经营范围的经营行为承担民事责任
- 查看答案
沥青混合料结构组成中,骨架-空隙结构的特点是( )。
-
- A.黏聚力较高,内摩擦角较小
- B.黏聚力较高,内摩擦角较大
- C.黏聚力较低,内摩擦角较大
- D.黏聚力较低,内摩擦角较小
- 查看答案
柔性路面主要代表是沥青类路面,其破坏主要取决于( )和极限垂直变形。
-
- A.剪切变形
- B.抗剪强度
- C.弯拉强度
- D.弯拉应变
- 查看答案