假定某商品市场上有100个消费者,其中60个消费者购买该市场1/3的商品,而且每个消费者的需求价格弹性均为3;另外40个消费者购买该市场2/3的商品,而且每个消费者的需求的价格弹性均为6.求:按100个消费者合计的需求的价格弹性系数是多少?
正确答案及解析
正确答案
解析
令100个消费者购买的商品总量为Q,市场价格为P,而且每个消费者的需求的价格弹性都是3,于是,单个消费者i的需求的价格弹性可以写为

该市场2/3的商品被另外40个消费者购买,而且每个消费者的需求的价格弹性都是6,于是,单个消费者j的需求的价格弹性可以写为:

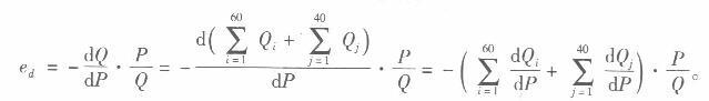
该市场上100个消费者合计的需求的价格弹性可以写为:

将(1)、(3)代入上式,得:=

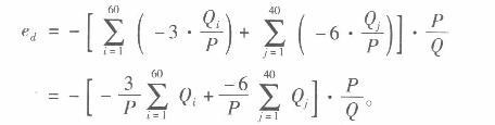
再将(2)、(4)代人上式,得:

所以,按100个消费者合计的需求的价格弹性系数是5。
你可能感兴趣的试题
在社会规范学习与道德品质发展的研究中,班都拉(ABandura)等心理学家的研究重点是
-
- A.道德认识
- B.道德情感
- C.道德意志
- D.道德行为
- 查看答案
与悬浮-密实结构的沥青混合料相比,关于骨架-空隙结构的黏聚力和内摩擦角的说法,正确的是( )。
-
- A.黏聚力大,内摩擦角大
- B.黏聚力大,内摩擦角小
- C.黏聚力小,内摩擦角大
- D.黏聚力小,内摩擦角小
- 查看答案
关于企业法人对其法定代表人行为承担民事责任的下列哪一表述是正确的
-
- A.仅对其合法的经营行为承担民事责任
- B.仅对其符合法人章程的经营行为承担民事责任
- C.仅对其以法人名义从事的经营行为承担民事责任
- D.仅对其符合法人登记经营范围的经营行为承担民事责任
- 查看答案
沥青混合料结构组成中,骨架-空隙结构的特点是( )。
-
- A.黏聚力较高,内摩擦角较小
- B.黏聚力较高,内摩擦角较大
- C.黏聚力较低,内摩擦角较大
- D.黏聚力较低,内摩擦角较小
- 查看答案
柔性路面主要代表是沥青类路面,其破坏主要取决于( )和极限垂直变形。
-
- A.剪切变形
- B.抗剪强度
- C.弯拉强度
- D.弯拉应变
- 查看答案