假定表2-6是供给函数Qs=-2+2P在一定价格范围内的供给表

(1)求出价格3元和5元之间的供给的价格弧弹性。 (2)根据给出的供给函数,求P=3元时的供给的价格点弹性: (3)根据该供给函数或供给表作出几何图形,利用几何方法求出P=3元时供给的价格点弹性。它与(2)的结果相同吗?
正确答案及解析
正确答案
解析
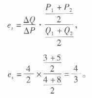
(1)由供给的价格弧弹性公式可得:

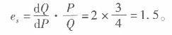
(2)当P=3时,Qs= -2 +2 x3 =4,所以有:

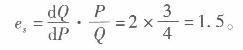
(3)根据图2-13所示,在a点即P=3时的供给的价格点弹性为:

可见,利用几何方法求出的P=3时的供给的价格点弹性系数和(2)中根据定义公式求出的结果是相同的,都是es=1.5。

你可能感兴趣的试题
在社会规范学习与道德品质发展的研究中,班都拉(ABandura)等心理学家的研究重点是
-
- A.道德认识
- B.道德情感
- C.道德意志
- D.道德行为
- 查看答案
与悬浮-密实结构的沥青混合料相比,关于骨架-空隙结构的黏聚力和内摩擦角的说法,正确的是( )。
-
- A.黏聚力大,内摩擦角大
- B.黏聚力大,内摩擦角小
- C.黏聚力小,内摩擦角大
- D.黏聚力小,内摩擦角小
- 查看答案
关于企业法人对其法定代表人行为承担民事责任的下列哪一表述是正确的
-
- A.仅对其合法的经营行为承担民事责任
- B.仅对其符合法人章程的经营行为承担民事责任
- C.仅对其以法人名义从事的经营行为承担民事责任
- D.仅对其符合法人登记经营范围的经营行为承担民事责任
- 查看答案
沥青混合料结构组成中,骨架-空隙结构的特点是( )。
-
- A.黏聚力较高,内摩擦角较小
- B.黏聚力较高,内摩擦角较大
- C.黏聚力较低,内摩擦角较大
- D.黏聚力较低,内摩擦角较小
- 查看答案
柔性路面主要代表是沥青类路面,其破坏主要取决于( )和极限垂直变形。
-
- A.剪切变形
- B.抗剪强度
- C.弯拉强度
- D.弯拉应变
- 查看答案