假设某完全竞争行业有200个相同的企业,企业的短期成本函数为TC =0. 2Q2+Q+15,市场需求函数为Qp= 2475 - 95P,厂商的长期总成本函数为LTC=0.1Q3-1. 2Q2+11.1Q,求: (1)市场短期均衡价格、产量及厂商利润。 (2)市场长期均衡价格与产量。 (3)说明是否会有厂商退出经营。
正确答案及解析
正确答案
解析
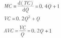
(1)先求单个企业的供给函数:

故A VC的最小值为1。 而MC的最小值也为1,故只有价格大于等于1,厂商才会供给商品。 此时单个企业的供给函数为P= MC =0.4Q +l,即Q=2.SP -2.5。 市场的供给函数为Qs=200Q =500P -500(P≥1),由QD=QS可得P=5。 市场均衡产量为2000单位,每个厂商产量为10单位。 单个厂商利润为5 x10 - (0.2 x102 +10+15) =5。

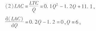
将Q=6代入LAC,得IAC =7.5。 由长期均衡条件可得P=7. 5. (3)将P=7.5代入需求函数可得市场需求量为1762.5,而200个厂商的供给量为1200,再加上厂商短期利润为正,长期利润为O,所以没有厂商退出经营。
你可能感兴趣的试题
在社会规范学习与道德品质发展的研究中,班都拉(ABandura)等心理学家的研究重点是
-
- A.道德认识
- B.道德情感
- C.道德意志
- D.道德行为
- 查看答案
与悬浮-密实结构的沥青混合料相比,关于骨架-空隙结构的黏聚力和内摩擦角的说法,正确的是( )。
-
- A.黏聚力大,内摩擦角大
- B.黏聚力大,内摩擦角小
- C.黏聚力小,内摩擦角大
- D.黏聚力小,内摩擦角小
- 查看答案
沥青混合料结构组成中,骨架-空隙结构的特点是( )。
-
- A.黏聚力较高,内摩擦角较小
- B.黏聚力较高,内摩擦角较大
- C.黏聚力较低,内摩擦角较大
- D.黏聚力较低,内摩擦角较小
- 查看答案
柔性路面主要代表是沥青类路面,其破坏主要取决于( )和极限垂直变形。
-
- A.剪切变形
- B.抗剪强度
- C.弯拉强度
- D.弯拉应变
- 查看答案
雅各宾派也被称为()
-
- A.沼泽派
- B.平等派
- C.忿激派
- D.山岳派
- 查看答案