设张三仅消费x和y两种商品,他的效用函数

其中L是张三每周的闲暇小时数,试求他最大化其效用函数时: (1)他将选择每周工作多少小时? (2)他将把收入的多大比例用于购买x? (3)他消费x的需求价格弹性。 (4)如果他的收入下降30%,y的价格下降50%,他将过得更好还是更坏?
正确答案及解析
正确答案
解析
(1)假设张三的工资率为山,商品x和y的价格分别为Px和Py每周的总收入为( 24×7-L)ω=168ω -Lω

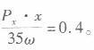
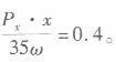
因此,张三每周工作的时间为168 -1=168 -133= 35(小时)。 (2)张三每周的总收入为(168 -1)ω=35ω 所以,张三用于x商品的支出比例为

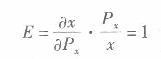
(3)消费x的需求价格弹性为:

(4)原先消费者的效用为:

由(1)可知,收入和商品y价格的变化不会改变张三工作与休闲的时间。收入下降30%主要表现为工资率减少30%。 因此,当收入下降30%、y的价格下降50%时,张三的效用为:

你可能感兴趣的试题
在社会规范学习与道德品质发展的研究中,班都拉(ABandura)等心理学家的研究重点是
-
- A.道德认识
- B.道德情感
- C.道德意志
- D.道德行为
- 查看答案
与悬浮-密实结构的沥青混合料相比,关于骨架-空隙结构的黏聚力和内摩擦角的说法,正确的是( )。
-
- A.黏聚力大,内摩擦角大
- B.黏聚力大,内摩擦角小
- C.黏聚力小,内摩擦角大
- D.黏聚力小,内摩擦角小
- 查看答案
沥青混合料结构组成中,骨架-空隙结构的特点是( )。
-
- A.黏聚力较高,内摩擦角较小
- B.黏聚力较高,内摩擦角较大
- C.黏聚力较低,内摩擦角较大
- D.黏聚力较低,内摩擦角较小
- 查看答案
柔性路面主要代表是沥青类路面,其破坏主要取决于( )和极限垂直变形。
-
- A.剪切变形
- B.抗剪强度
- C.弯拉强度
- D.弯拉应变
- 查看答案
雅各宾派也被称为()
-
- A.沼泽派
- B.平等派
- C.忿激派
- D.山岳派
- 查看答案