市场上黄瓜价格为Px=3元,西红柿价格为Py=4元,张三的收入为50元,其效用函数为U(X,Y)=(X2+Y2)的平方根 (1)根据上述条件计算张三的最大效用。 (2)做出张三的无差异曲线和预算线的图,分析张三的最优消费组合,与(1)对比,说明其有何区别并说明理由。
正确答案及解析
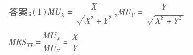
正确答案
解析

故MRSXY是随着X的增加而增加,不满足一般条件,故此时效用最大化的点只能在端点处取得。 预算约束方程为3X +4Y= 50,端点分别为(0,25/2)(50/3,0),效用分别为25/2、50/3,故张三的最大效用为50/3。 (2)张三的无差异曲线和预算线如图3-6所示,由图3-6可以看出,无差异曲线是以原点为中心的圆弧,而预算线是一条直线,无差异曲线与预算线相切于b点,而另一条无差异曲线与预算线相交于a点,分析可知,效用最大化的点为a点,最优组合为(50/3,0),与(1)中结果一致。

你可能感兴趣的试题
在社会规范学习与道德品质发展的研究中,班都拉(ABandura)等心理学家的研究重点是
-
- A.道德认识
- B.道德情感
- C.道德意志
- D.道德行为
- 查看答案
与悬浮-密实结构的沥青混合料相比,关于骨架-空隙结构的黏聚力和内摩擦角的说法,正确的是( )。
-
- A.黏聚力大,内摩擦角大
- B.黏聚力大,内摩擦角小
- C.黏聚力小,内摩擦角大
- D.黏聚力小,内摩擦角小
- 查看答案
沥青混合料结构组成中,骨架-空隙结构的特点是( )。
-
- A.黏聚力较高,内摩擦角较小
- B.黏聚力较高,内摩擦角较大
- C.黏聚力较低,内摩擦角较大
- D.黏聚力较低,内摩擦角较小
- 查看答案
柔性路面主要代表是沥青类路面,其破坏主要取决于( )和极限垂直变形。
-
- A.剪切变形
- B.抗剪强度
- C.弯拉强度
- D.弯拉应变
- 查看答案
雅各宾派也被称为()
-
- A.沼泽派
- B.平等派
- C.忿激派
- D.山岳派
- 查看答案