假设某商品的市场需求函数为Q=a-bP(a>0,b>0) (1)求市场价格为Po时的需求价格弹性。 (2)当a=3、b=1.5时,需求价格弹性为1.5,求市场价格和需求量。 (3)求出价格上升能够带来市场销售额增加的市场价格范围。
正确答案及解析
正确答案
解析
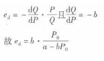
(1)根据需求价格弹性公式得:

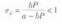
(2)e,=1.5 ×[P/(3-1.5p)]=1.5 解得P=1.2 由Q =3 -1. SP,可得Q=1.2。 (3)当需求价格弹性小于1时,价格上升可使销售收入上升,即有:

因此,当P< (a/2b)时,价格上升能带来销售额的增加。

