证明消费者最优决策的对偶性
正确答案及解析
正确答案
解析
(1)既定预算约束下的效用最大化问题。 max·U(x,y) s.t.Px·x+Py·y=m 构造拉格朗日函数: L= U(x,y)+A(m-Px·x-Py·y) 一阶条件为:

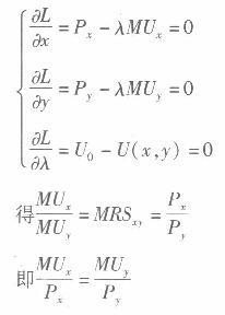
(2)既定效用水平下的支出最小化问题。 min.Px·x+Py·y s.t.U(x,y)= Uo 构造拉格朗日函数: L=Px .x+Py·y+λ[Uo -U(x,y)] 一阶条件为:

可以看出,支出最小化问题产生的需求函数与直接的效用最大化问题得出的需求函数相同。


