设现阶段我国居民对新汽车需求的价格弹性是ed=-1.2,需求的收入弹性是em=3.0,计算 (1)在其他条件不变的情况下,价格提高3%对需求的影响。 (2)在其他条件不变的情况下,收入提高2%对需求的影响。 (3)假设价格提高8%,收入增加10%,2002年新汽车的销售量为800万辆。利用有关弹性系数估算2003年新汽车的销售量。
正确答案及解析
正确答案
解析
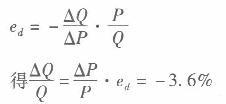
(1)根据需求弹性价格公式可知:

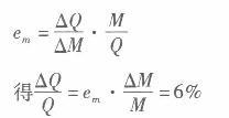
(2)根据收入弹性公式可知:

(3)△Q=(-1.2×8% +3 x10%)×800 =163.2 800 +163.2=963.2 故2003年新汽车的销售量为963.2万辆。


