根据表10-12是二人同时博弈模型,求: (1)参与人A与B的期望支付。 (2)参与人A与B的条件混合策略。 (3)纳什均衡。

正确答案及解析
正确答案
解析
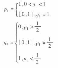
(1)参与人A与B的期望支付为: EA =3P1q1 +2p1(1- q1) +3(1一pl)g1+(1-P1)(1-q1) = -P1q1 +P1 +2q1 +1 =p1(l -q1) +2q1 +1 EB=p1(1- q1) +2(1 -P1)q1+(1-P1)(1- q1) = -2P1q1 +q1 +1 =q1(l -2p1) +1 (2)参与人A与B的条件混合策略:

(3)纯策略纳什均衡为(2,1)(3,2),即(上,右)(下,左),混合策略纳什均衡为(1/2上,1/2左),如图10-6所示。

你可能感兴趣的试题
在社会规范学习与道德品质发展的研究中,班都拉(ABandura)等心理学家的研究重点是
-
- A.道德认识
- B.道德情感
- C.道德意志
- D.道德行为
- 查看答案
与悬浮-密实结构的沥青混合料相比,关于骨架-空隙结构的黏聚力和内摩擦角的说法,正确的是( )。
-
- A.黏聚力大,内摩擦角大
- B.黏聚力大,内摩擦角小
- C.黏聚力小,内摩擦角大
- D.黏聚力小,内摩擦角小
- 查看答案
沥青混合料结构组成中,骨架-空隙结构的特点是( )。
-
- A.黏聚力较高,内摩擦角较小
- B.黏聚力较高,内摩擦角较大
- C.黏聚力较低,内摩擦角较大
- D.黏聚力较低,内摩擦角较小
- 查看答案
柔性路面主要代表是沥青类路面,其破坏主要取决于( )和极限垂直变形。
-
- A.剪切变形
- B.抗剪强度
- C.弯拉强度
- D.弯拉应变
- 查看答案
雅各宾派也被称为()
-
- A.沼泽派
- B.平等派
- C.忿激派
- D.山岳派
- 查看答案