平均成本曲线和边际成本曲线的关系是什么?证明之。
正确答案及解析
正确答案
解析
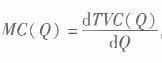
(1)平均成本曲线和边际成本曲线的关系如下: 边际成本曲线的函数方程为

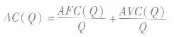
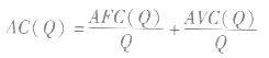
此函数方程表明,在短期内的总成本中有一部分要素是固定不变的,所以,边际成本( MC)随着产量的变动只取决于可变成本( TVC)的变动量。而可变要素的报酬随其数量的增加会有先递增而后递减的变化。因此,MC曲线会先下降而后上升,平均成本(14C)曲线由于是平均固定成本(L4FC)曲线与平均可变成本(AVC)曲线叠加的结果,其函数方程为:

因此,AC曲线必然是一条先下降后上升的U形曲线,但是它由下降到上升的转折点要晚于MC曲线,于是MC曲线必然会与.4C曲线相交。根据两条曲线的不同性质可知,当MC< AC时,每增加一单位产品,单位产品的平均成本比以前要小些,所以AC是下降的;当MC >AC时,每增加一单位产品,单位产品的平均成本比以前要大些,所以AC是上升的。这样,MC曲线只能在AC曲线的最低点与之相交。如图5-2所示,两曲线相交于R点,R点便是AC曲线的最低点。

(2)两者关系的证明过程。AC曲线和MC曲线的关系可以用数学证明如下:


