简要说明在短期中,生产函数与成本函数之间的关系
正确答案及解析
正确答案
解析
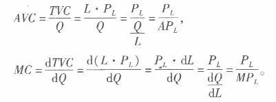
(1)厂商的短期成本函数可以由成本、产量以及要素投入量之间的关系推导得出,因为一定的要素投入量生产一定产量的产品,同时也必然花费一定的成本。成本与产量之间的对应关系即为成本函数。即若给定生产函数为Q= f(L,K),以及成本方程为C=L·PLK·PK+ CO,根据最优要素投入量的选择原则MPL/PL= MPK/PK,就可以获得短期成本函数C=C(Q)。 (2)平均可变成本AVC与给定要素价格下的可变要素数量及产量相关,因而也就与其平均产量相关;边际成本MC与给定要素价格下的边际产量相关。即:

所以,APL与4VC的变化趋势相反,APL曲线呈倒U形,AVC曲线呈U形;MPL与MC的变化趋势也相反,MP。曲线呈倒U形,MC曲线则呈U形。

