假定某厂商的短期生产函数为Q=f(L,K)给定生产要素价格PL、PK和产品P且利润π>0 证明:该厂商在短期生产的第一阶段不存在利润最大化的点。
正确答案及解析
正确答案
解析
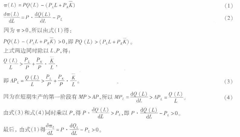
根据题意可知,L为可变要素,K为不变要素,并可得利润等式:

故在第一阶段,厂商利润是随着L增加而增加,不满足利润最大化条件,故不存在利润最大化的点。
假定某厂商的短期生产函数为Q=f(L,K)给定生产要素价格PL、PK和产品P且利润π>0 证明:该厂商在短期生产的第一阶段不存在利润最大化的点。
根据题意可知,L为可变要素,K为不变要素,并可得利润等式:

故在第一阶段,厂商利润是随着L增加而增加,不满足利润最大化条件,故不存在利润最大化的点。