请说明边际收益产品(MRP)和边际产品价值(VMP)的区别,并说明当厂商在产品市场处于卖方垄断地位,而在生产要素市场处于买方垄断地位时,如何确定生产要素的均衡价格和使用量
正确答案及解析
正确答案
解析
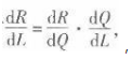
(1)边际收益产品(MRP)和边际产品价值(VMP)的区别。边际收益产品是指在其他生产要素的投入量固定不变时追加一单位的某种生产要素投入所带来的收益。它等于边际物质产品( MP)与边际收益(MR)的乘积,即MRP= MP.MR。边际收益产品是以收益表示的边际生产力,它受边际物质产品和边际收益两个因素的影响。由于边际物质产品是递减的,因而边际收益产品也是递减的,边际收益产品曲线向右下方倾斜。边际收益的曲线形状要视不同的市场曲线而定。在完全竞争市场上,厂商的边际收益等于价格,而边际产品价值VMP= MP.P,所以边际收益产品曲线与边际产品价值曲线重合,两条曲线按同一速度下降;在不完全竞争市场上,厂商面临一条倾斜的需求曲线,边际收益递减,边际收益小于价格,因而边际收益产品曲线与边际产品价值曲线不再重合,前者以更快的速度下降。边际收益产品曲线反映了厂商增加一单位这种生产要素给它带来的收益,厂商正是根据这一收益大小来决定它对该要素的需求量及价格。因此,边际收益产品曲线就是厂商对生产要素的需求曲线。它与要素供给曲线的交点,决定了该生产要素的均衡价格与使用量。在这一点上,该生产要素的边际收益等于该生产要素的边际成本,在这一条件下,厂商都会实现润最大化。 (2)生产要素的均衡价格和使用量的确定。 1)在产品市场的边际收益。厂商在产品市场上(作为产品的卖方)是垄断者,卖方垄断厂商使用要素的边际收益则取决于产量,产量又取决于要素价格。假定所讨论的卖方垄断厂商的收益函数和生产函数分别为R=R(Q)和Q=Q(L),则收益可以看成是要素的复合函数R=R[Q(L)]。根据复合函数求导法则即有

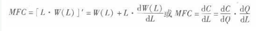
式右边第一项dR/dQ为收益对产量的导数,即所谓产品的边际收益MR,它反映了增加一单位产品所增加的收益;第二项dQ/dL为产量对要素的导数,即所谓要素的边际产品MP,它反映了增加一单位要素增加时的产品:因此,在卖方垄断条件下,厂商使用要素的边际收益等于产品的边际收益MR和要素的边际产品MP的乘积MR.MP。这个乘积通常被称为要素的边际收益产品,并用MRP来表示,即MRP= MR·MP1 2)在要素市场上的边际成本。厂商在要素市场上(作为要素的买方)是垄断者,其要素价格不再是固定不变的常数,从而其使用要素的边际成本亦不再等于要素价格。设用△L表示所使用的要素增量,而由此引起的成本增加量用AC表示。成本增量与要素增量之比AC/AL的极限,即成本对要素的导数dC/dL,通常称为边际要素成本,并用符号MFC表示。换句话说,边际要素成本是增加一单位要素使用所增加的成本。 由于厂商的成本是所使用的要素数量和要素价格的乘积,而要素价格通常又是要素数量的函数(厂商面临的要素供给函数),故如果知道了厂商的要素供给函数,则不难求得其边际要素成本函数。例如,设该供给函数为W(L),则成本函数为L.W(L)。于是,边际要素成本为:

由于dC/dQ是产品的边际成本MC,dQ/dL是要素的边际产品MP,所以MFC=MC.MP。 3)根据要素使用原则,该厂商使用要素的边际收益和边际成本分别等于要素的边际产品价值和边际要素成本,即MRP =MFC。此时的产量和价格即为均衡的产量和均衡价格。
你可能感兴趣的试题
在社会规范学习与道德品质发展的研究中,班都拉(ABandura)等心理学家的研究重点是
-
- A.道德认识
- B.道德情感
- C.道德意志
- D.道德行为
- 查看答案
与悬浮-密实结构的沥青混合料相比,关于骨架-空隙结构的黏聚力和内摩擦角的说法,正确的是( )。
-
- A.黏聚力大,内摩擦角大
- B.黏聚力大,内摩擦角小
- C.黏聚力小,内摩擦角大
- D.黏聚力小,内摩擦角小
- 查看答案
沥青混合料结构组成中,骨架-空隙结构的特点是( )。
-
- A.黏聚力较高,内摩擦角较小
- B.黏聚力较高,内摩擦角较大
- C.黏聚力较低,内摩擦角较大
- D.黏聚力较低,内摩擦角较小
- 查看答案
柔性路面主要代表是沥青类路面,其破坏主要取决于( )和极限垂直变形。
-
- A.剪切变形
- B.抗剪强度
- C.弯拉强度
- D.弯拉应变
- 查看答案
雅各宾派也被称为()
-
- A.沼泽派
- B.平等派
- C.忿激派
- D.山岳派
- 查看答案