题目详情

f(x)为二次多项式,且f(2004)=1,f(2005)=2,f(2006)=7,则f(2008)=( )

  • A.29
  • B.26
  • C.28
  • D.27
  • E.39

正确答案及解析

正确答案
A
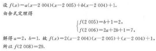
解析

管理类联考综合,章节练习,管理类综合练习

你可能感兴趣的试题

单选题

在社会规范学习与道德品质发展的研究中,班都拉(ABandura)等心理学家的研究重点是

  • A.道德认识
  • B.道德情感
  • C.道德意志
  • D.道德行为
查看答案
单选题

雅各宾派也被称为()

  • A.沼泽派
  • B.平等派
  • C.忿激派
  • D.山岳派
查看答案
问答题

数学一,章节练习,高等数学

查看答案
问答题

数学一,章节练习,高等数学

查看答案
问答题

数学一,章节练习,高等数学

查看答案

相关题库更多 +