题目详情

现有一大球一小球,若将大球中的1/8溶液倒入小球中,正巧可装满小球,那么大球与小球的半径之比等于( )。管理类联考综合,章节练习,综合练习

  • A.见图A
  • B.见图B
  • C.见图C
  • D.见图D

正确答案及解析

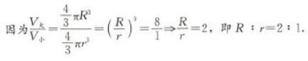
正确答案
A
解析

管理类联考综合,章节练习,管理类联考

你可能感兴趣的试题

单选题

在社会规范学习与道德品质发展的研究中,班都拉(ABandura)等心理学家的研究重点是

  • A.道德认识
  • B.道德情感
  • C.道德意志
  • D.道德行为
查看答案
问答题

数学一,专项练习,研究生入学考试《数学一》考前冲刺

查看答案
问答题

数学一,专项练习,研究生入学考试《数学一》考前冲刺

查看答案
问答题

数学一,专项练习,研究生入学考试《数学一》考前冲刺

查看答案
问答题

数学一,专项练习,研究生入学考试《数学一》考前冲刺

查看答案

相关题库更多 +