题目详情

某车间共有40人,某次技术操作考核的平均分为90分,这40人的分数从低到高恰好构成一个等差数列:a1,a2,…,a40,则a1+a8+a33+a40=( )

  • A.260
  • B.320
  • C.360
  • D.240
  • E.340

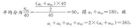
正确答案及解析

正确答案
C
解析

管理类联考综合,章节练习,管理类综合练习

你可能感兴趣的试题

单选题

在社会规范学习与道德品质发展的研究中,班都拉(ABandura)等心理学家的研究重点是

  • A.道德认识
  • B.道德情感
  • C.道德意志
  • D.道德行为
查看答案
单选题

雅各宾派也被称为()

  • A.沼泽派
  • B.平等派
  • C.忿激派
  • D.山岳派
查看答案
问答题

数学一,章节练习,考研数学高等数学部分

查看答案
问答题

数学一,章节练习,考研数学高等数学部分

查看答案
问答题

数学一,章节练习,考研数学高等数学部分

查看答案

相关题库更多 +