题目详情

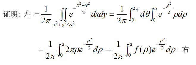
数学一,章节练习,高等数学2是半径为t的圆周长, 试证:.数学一,章节练习,高等数学2

正确答案及解析

正确答案
解析

数学一,章节练习,考研数学高等数学

你可能感兴趣的试题

单选题

在社会规范学习与道德品质发展的研究中,班都拉(ABandura)等心理学家的研究重点是

  • A.道德认识
  • B.道德情感
  • C.道德意志
  • D.道德行为
查看答案
单选题

与悬浮-密实结构的沥青混合料相比,关于骨架-空隙结构的黏聚力和内摩擦角的说法,正确的是( )。

  • A.黏聚力大,内摩擦角大
  • B.黏聚力大,内摩擦角小
  • C.黏聚力小,内摩擦角大
  • D.黏聚力小,内摩擦角小
查看答案
单选题

雅各宾派也被称为()

  • A.沼泽派
  • B.平等派
  • C.忿激派
  • D.山岳派
查看答案
问答题

数学一,章节练习,考研数学高等数学部分

查看答案
问答题

数学一,章节练习,考研数学高等数学部分

查看答案

相关题库更多 +