题目详情

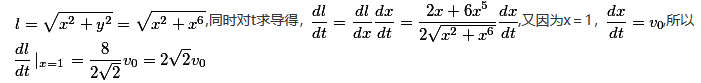
已知动点P在曲线数学一,章节练习,高等数学2上运动,记坐标原点与点P间的距离为l.若点P的横坐标对时间的变化率为常数数学一,章节练习,高等数学2,则当点P运动到点(1,1)时,l对时间的变化率是

正确答案及解析

正确答案
解析

数学一,章节练习,高等数学2

你可能感兴趣的试题

单选题

在社会规范学习与道德品质发展的研究中,班都拉(ABandura)等心理学家的研究重点是

  • A.道德认识
  • B.道德情感
  • C.道德意志
  • D.道德行为
查看答案
问答题

数学一,章节练习,线性代数部分

查看答案
问答题

数学一,章节练习,线性代数部分

查看答案
问答题

数学一,章节练习,线性代数部分

查看答案
问答题

数学一,章节练习,线性代数部分

查看答案

相关题库更多 +