题目详情
全站导航
首页
试卷库
试题库
试卷导航
建筑工程
职业资格
公务员
财会类
医卫类
外语类
计算机类
学历类
试题导航
建筑工程
职业资格
公务员
财会类
医卫类
外语类
计算机类
学历类
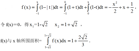
已知曲线的方程为
,则曲线
与x 轴围成的平面图形的面积为
查看答案
纠错
正确答案及解析
正确答案
解析
你可能感兴趣的试题
单选题
在社会规范学习与道德品质发展的研究中,班都拉(ABandura)等心理学家的研究重点是
A.道德认识
B.道德情感
C.道德意志
D.道德行为
查看答案
单选题
雅各宾派也被称为()
A.沼泽派
B.平等派
C.忿激派
D.山岳派
查看答案
问答题
查看答案
问答题
查看答案
问答题
查看答案
相关题库
更多 +
政治
数学二
管理类联考综合
中医综合
西医综合
学硕教育学
研究生历史
学硕心理学
专硕心理学
经济学
题目纠错
提交
取消