题目详情

应用数学一,章节练习,高等数学2 定义证明数学一,章节练习,高等数学2

正确答案及解析

正确答案
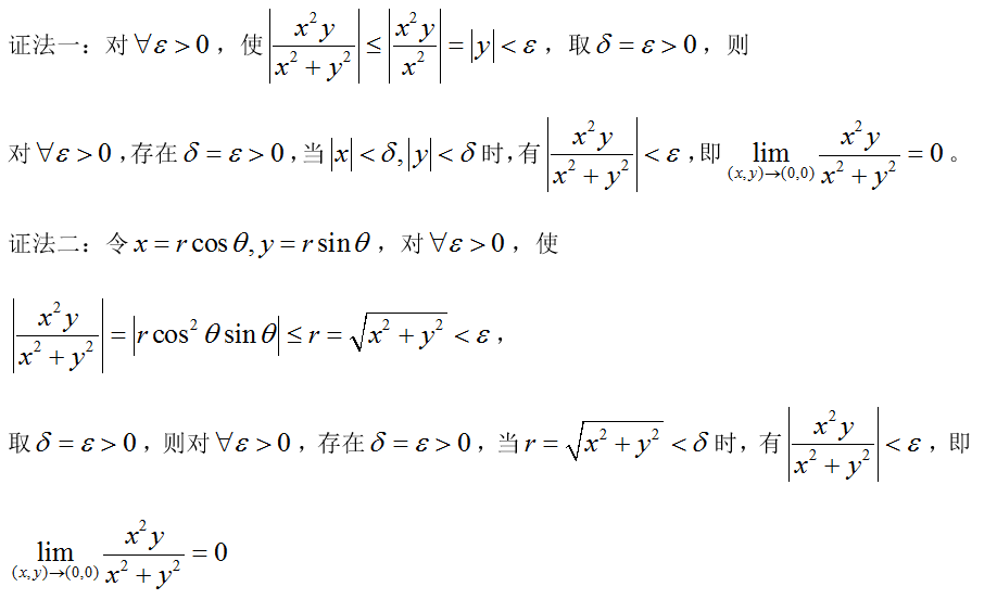
解析

数学一,章节练习,考研《数学一》高等数学2

你可能感兴趣的试题

单选题

在社会规范学习与道德品质发展的研究中,班都拉(ABandura)等心理学家的研究重点是

  • A.道德认识
  • B.道德情感
  • C.道德意志
  • D.道德行为
查看答案
单选题

雅各宾派也被称为()

  • A.沼泽派
  • B.平等派
  • C.忿激派
  • D.山岳派
查看答案
问答题

数学一,专项练习,研究生入学考试《数学一》考前冲刺

查看答案
问答题

数学一,专项练习,研究生入学考试《数学一》考前冲刺

查看答案
问答题

数学一,专项练习,研究生入学考试《数学一》考前冲刺

查看答案

相关题库更多 +