某项目包含的活动如下表所示,完成整个项目的最短时间为( 此空作答 )周。不能通过缩短活动( )的工期,来缩短整个项目的完成时间。
- A.A
- B.B
- C.D
- D.F
正确答案及解析
正确答案
B
解析
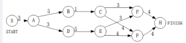
本题考查软件工程进度管理知识点。根据题目中表格内容可画出下图所示的 PERT 图( S 表示开始节点, H 表示终节点)。

根据上图可得关键路径为: A 、 D 、 E 、 F 、 H ,长度 19 ,所以最短工期 19 周。由于 B 不是关键路径上的活动,所以压缩他,无法缩短整个项目的完成时间。





