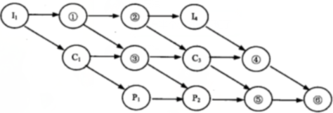
假设某计算机系统中只有一个CPU、一台输入设备和一台输出设备,若系统中有四个作业T1、T2、T3和T4,系统采用优先级调度,且T1的优先级>T2的优先级>T3的优先级>T4的优先级。每个作业Ti具有三个程序段:输入Ii、计算Ci和输出Pi(i=1,2,3,4),其执行顺序为Ii→Ci→Pi。这四个作业各程序段并发执行的前驱图如下所示。图中③、④、⑤分别为

- A.C2、C4、P4
- B.l2、l3、C4
- C.I3、P3、P4
- D.l3、C4、P4
正确答案及解析
正确答案
解析
题目告诉我们一共有3个设备,分别是一个CPU、一台输入设备和一台输出设备,其实输入设备对应程序段输入Ii,而CPU对应程序段计算Ci,输出设备对应程序段输出Pi。而每个作业都分为这三段,各段间有个顺序关系。再结合图中已经给出的结点,我们不难发现,第一行是输入,第二行是计算,而第三行的结点数输出结点。因此可以知道①、②分别为C1、P3,③、④、⑤分别为I3、C4、P4。
你可能感兴趣的试题
E-mail地址由分隔符“()”分为前后两部分,分别指明用户名及邮件
-
- A.//
- B.\\
- C.@
- 查看答案
某 html 文档中有如下代码,则在浏览器中打开该文档时显示为( )。
<form>
Listl:
<input type="text" name="List1" />
<br / >
List2:
<input type="text" name="List 2 " />
< /form>

-
- A.见图A
- B.见图B
- C.见图C
- D.见图D
- 查看答案
设有商品关系P(商品名,条形码,供应商号,价格,数量), “条形码”唯一标识关系P中的每一个元组,商品名不能为空,供应商号是关系P的外键。另有供应商关系S(供应商号,供应商名,地址,电话)。关系 P 中的商品名是唯一的。建立商品关系 P 的 SQL语句如下所示:
CREATE TABLE P( 商品名CHAR(30)( ),
条形码CHAR(30) ( ) ,
供应商号 CHAR(5) ,
价格 CHAR(20) ,
数量CHAR(20)
( )(供应商号) REFERENCES S(供应商号));
查询供应商及价格小于等于 2500 元且大于等于 1280 元的“电冰箱”的数量的SQL语句为:
SELECT商品名,供应商名,价格,数量
FROM P
WHERE商品名= ’电冰箱’ AND ( ) ;
将供应商号“12021”所供应的商品价格上涨3%的SQL语句为:
UPDATE P
( )
WHERE 供应商号= ’12021’;
查询供应商地址包含“西安”的供应商名及电话的SQL语句为:
SELECT供应商名,电话
FROM S
WHERE ( );
-
- A.NULL
- B.UNIQUE
- C.NOT NULL
- D.NOT NULL UNIQUE
- 查看答案
函数f()、g()的定义如下所示。已知调用f时传递给其形参x的值是1,若以传值方式调用g,则函数f的返回值为( );若以传引用方式调用g,则函数f的返回值为( )。

-
- A.3
- B.4
- C.6
- D.7
- 查看答案


-
- A.见图A
- B.见图B
- C.见图C
- D.见图D
- 查看答案