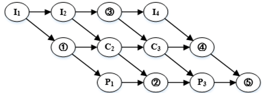
假设某计算机系统中只有一个CPU、一台输入设备和一台输出设备,若系统中有四个作业T1、T2、T3和T4,系统采用优先级调度,且T1的优先级>T2的优先级>T3的优先级>T4的优先级。每个作业Ti具有三个程序段:输入Ii、计算Ci和输出Pi(i=1,2,3,4),其执行顺序为Ii→Ci→Pi。这四个作业各程序段并发执行的前驱图如下所示。图中①、②分别为

- A.l2、P2
- B.l2、C2
- C.C1、P2
- D.C1、P3
正确答案及解析
正确答案
C
解析
题目告诉我们一共有3个设备,分别是一个CPU、一台输入设备和一台输出设备,其实输入设备对应程序段输入Ii,而CPU对应程序段计算Ci,输出设备对应程序段输出Pi。而每个作业都分为这三段,各段间有个顺序关系。再结合图中已经给出的结点,我们不难发现,第一行是输入,第二行是计算,而第三行的结点数输出结点。因此可以知道①、②分别为C1、P3,③、④、⑤分别为I3、C4、P4。





