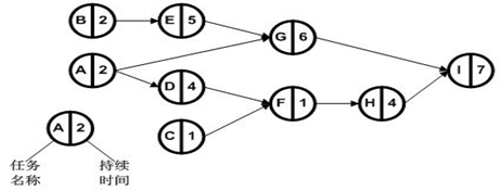
某项目主要由A~I任务构成,其计划图(如下图所示)展示了各任务之间的前后关系以及每个任务的工期(单位:天),该项目的关键路径是B→E→G→I。在不延误项目总工期的情况下,任务A最多可以推迟开始的时间是()天

- A.0
- B.2
- C.5
- D.7
正确答案及解析
正确答案
解析
关键路径是时间最长的那条路径,B→E→G→I这条路径耗时最长,总共2+5+6+7=20天。经过任务A的时间最长路径是A→D→F→H→I,总共2+4+1+4+7=18天。只要A的延误时间不超过20-18=2天,就不会对整体时间产生影响。
你可能感兴趣的试题
( )a method of obtaining early feedback on requirements by providing aworking model of the expected product before actually building it.
-
- A.Prototypes
- B.Object oriented
- C.Structure
- D.Iterative methoD
- 查看答案
【说明】
某公司现有网络拓扑结构如图1-1所示。该网络中使用交换机SW1为三层交换机,SW2和SW3均为二层智能交换机。

【问题4】(4分)
为了对用户上网行为进行监管,需要在SW1与R1之间部署(9)。
(9)备选答案:
A.FW(防火墙) B.IDS(入侵检测系统) C.堡垒机 D.上网行为管理
随着公司各部门成员增加,某些时候部分员工获取到IP地址和真实DHCP分出来IP不一致,为了避免这种情况可以在交换机上开启(10)功能。
(10)备选答案:
A.dhcp snooping B. broadcast-suppression C. loopback-detect
- 查看答案
阅读下列说明,回答问题1至问题5,将解答填入答题纸对应栏内。 【说明】 攻克要塞教育中心在部署计算机网络时采用了一款硬件防火墙,该防火墙带有三个以太网络接口,其网络拓扑如图3-1所示。

【问题1】(8分)
防火墙包过滤规则默认策略为拒绝,表3-1给出防火墙包过滤规则配置。若要求内部所有主机能使用IE浏览器访问外部IP地址202.117.118.23Web服务器,为表中(1)~(4)空缺处选择正确答案,填写在答题纸相应位置。(1)备选答案:A.允许 B.拒绝(2)备选答案:A.192.168.1.0/24 B.211.156.169.6/30 C.202.117.118.23/24(3)备选答案:A.TCP B.UDP C.ICMP(4)备选答案:A.E3E2 B.E1E3 C.E1E2

【问题2】(6分)
内部网络经由防火墙采用NAT方式与外部网络通信,表3-2中(5)~(7)空缺处选择正确答案,填写在答题纸相应位置。(5) 备选答案:A.192.168.1.0/24 B.anyC.202.117.118.23/24(6)备选答案: A.E1 B.E2 C.E3(7)备选答案: A.192.168.1.1 B.210.156.169.6C.211.156.169.6

【问题3】(2分)
图3-1中 (8)适合设置为DMZ区。(8)备选答案:A.区域A B.区域B C.区域C【问题4】(4分)防火墙上配置信息如图3-2所示。要求启动HTTP代理服务,通过HTTP缓存提高浏览速度,代理服务端口为3128,要使主机PC1使用HTTP代理服务,其中“地址”栏中内容应填写为 (9) ,“端口”栏中内容应填写为 (10) 。

【问题5】(4分)
NAT和HTTP代理分别工作在 (11) 和 (12) 。(11)备选答案:A.网络层 B.应用层 C.服务层(12)备选答案:A.网络层 B.应用层 C.服务层
- 查看答案
阅读以下说明,回答问题1至问题4,将解答填入答题纸对应解答栏内。
【说明】
某企业采用PIX防火墙保护公司网络安全,网络结构如图4-1所示。

【问题1】(4分)
防火墙一般把网络区域划分为内部区域(trust区域)、外部区域(untrust区域)以及(1),其中在这个网络区域内可以放置一些公开服务器,下列(2)服务器不适合放在该区域。
空(2)备选答案:
A.Web
B.FTP
C.邮件
D.办公自动化(OA)
【问题2】(2分)
衡量防火墙性能主要参数有并发连接数、用户数限制、吞吐量等,其中最重要参数是(3),它反映出防火墙对多个连接访问控制能力和连接状态跟踪能力,这个参数大小直接影响到防火墙所能支持最大信息点数。
空(3)备选答案:
A.并发连接数
B.用户数限制
C.吞吐量
D.安全过滤带宽
【问题3】(4分)
设置防火墙接口名称,并指定安全级别,安全级别取值范围为0~100,数字越大安全级别越高。要求设置:ethemet0命名为外部接口outside,安全级别是0;ethernet1命名为内部接口inside,安全级别是100;ethernet2命名为中间接口dmz,安全级别为50。
请完成下面命令。
…
PLX#config terminal
PLX (config)#nameif ethemet0 (4) security0
PLX (config)#nameif ethernet1 inside (5)
PLX (config)#nameif ethemet2 (6) (7)
…
【问题4】(5分)
编写表4-1中规则,设置防火墙安全规则,允许外网主机133.20.10.10访问内网数据库服务器10.66.1.101,同时允许内网和外网访问DMZ区WWW服务器10.65.1.101。

- 查看答案
阅读以下说明,回答问题一,并将解答填入答题纸对应解答栏中。 某公司用ASP 实现了用户满意度调查网页,系统几个主要文件及作用如表1所示, 网页效果如图1 所示。

用户调查数据库表info表结构如表2所示:

问题1:完成下列代码填空




备选答案:A.用户满意度调查 B. rs C. username
D. </frameset> E. dbpathF.Conn G.exec H. top.html I.info J. login.asp K.searchtext L. rs.EOF M. MoveNext N.wt1 O. rowcount
- 查看答案